ОК17. Теоретичні основи електротехніки
Структура за темами
-
-
-
1) ВІДЕОЗАПИСИ окремих ЗАНЯТЬ з курсу "Електротехніка, електроніка та мікропроцесорна техніка" (Постійний струм, методи розрахунку ЕК ПС) для заочного відділення (ЗПМ23, ЗМБ23, ЗМБК24, ЗМБК30к) за 2025/2026 навч. рік.
Доступ на гугл-диск відкритий для користувачів університетської пошти ("користувач@student.ztu.edu.ua") в домені ztu.edu.ua - заходити в гугл-пошту / гугл-драйв треба за університетським (корпоративним) обліковим записом (той, що в домені використовується - "користувач@student.ztu.edu.ua")
-
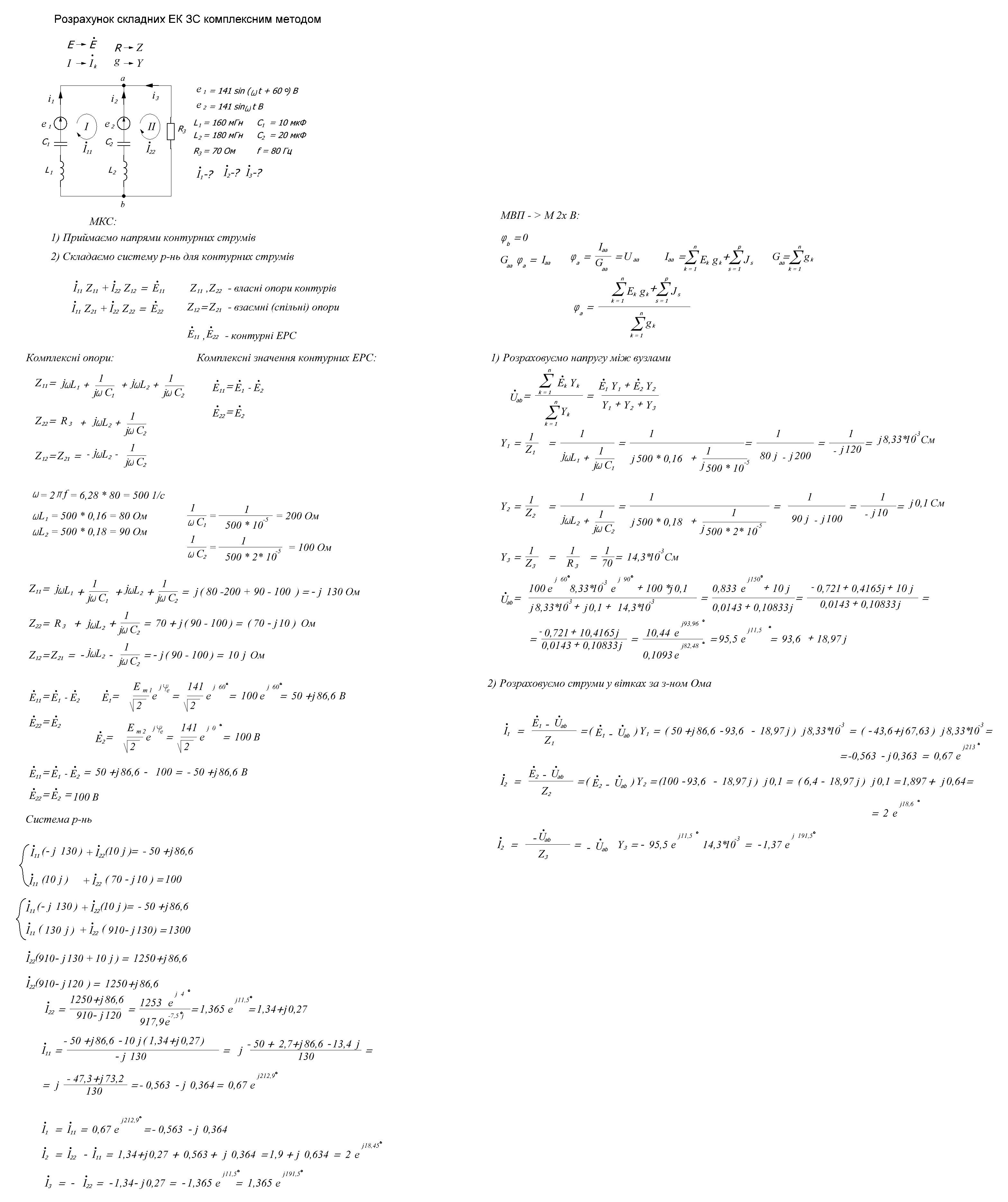
Ілюстративні матеріали до лекційного матаріалу (у форматі sPlan 7.0)
-
-
-
Доступ по посиланню відкритий для користувачів домену ztu.edu.ua - заходити в гугл-пошту / гугл-драйв треба за університетським обліковим записом (той, що в домені використовується - "користувач@student.ztu.edu.ua")
-
-
-
-